瑞典皇家科学院于北京时间2025年10月7日宣布,将2025年诺贝尔物理学奖授予美国加州大学伯克利分校约翰·克拉克(John Clarke)、耶鲁大学米歇尔·德沃雷(Michel H. Devoret)与加州大学圣芭芭拉分校约翰·马丁尼斯(John M. Martinis),以表彰他们在“电路中实现宏观量子隧穿与能级量子化(for the discovery of macroscopic quantum mechanical tunnelling and energy quantization in an electric circuit)”的杰出贡献。

三位科学家的获奖工作以两篇发表于1985年《物理评论快报》的论文为标志。其中,6月投稿的论文《零电压状态下的电流偏置约瑟夫森结中的能量量子化》(Energy-Level Quantization in the Zero-Voltage State of a Current-Biased Josephson Junction, Phys. Rev. Lett., 55, 1543, 1985)首次确认了约瑟夫森结中存在量子能级的分立现象;7月投稿的论文《零电压状态下的电流偏置约瑟夫森结中宏观量子隧穿测量》(Measurements of Macroscopic Quantum Tunneling out of the Zero-Voltage State of a Current-Biased Josephson Junction, Phys. Rev. Lett. 55, 1908, 1985)则系统报道了在相同的体系中宏观量子隧穿效应的实验证据。这两项研究共同构成了该领域实验探索的奠基性工作。
上述突破性研究在加州大学伯克利分校完成,团队由约翰·克拉克教授领导,他在约瑟夫森结领域经验丰富,负责把握整体研究方向。来自巴黎郊外萨克雷的博士后米歇尔·德沃雷特具备低温物理研究背景,虽此前未涉足约瑟夫森结与分子固体领域,但仍深度参与了关键实验环节。高年级博士生约翰·马丁尼斯则在项目中承担了核心研究工作。值得一提的是,这两篇具有里程碑意义的论文仅由三人共同署名。实验的成功不仅源于精巧的物理设计,也依赖于当时先进的微纳加工与极低温技术:他们采用光刻工艺制备约瑟夫森结器件,并在稀释制冷机中实现低至10–800 mK的极低温环境,从而有效抑制热扰动,凸显量子效应。
这一系列工作为超导量子计算奠定了实验基础。获奖者后续的研究进一步推动了该领域的快速发展,其中德沃雷特在耶鲁大学、马丁尼斯在加州大学圣芭芭拉分校分别引领多个关键方向。特别值得关注的是,马丁尼斯于2014–2019年担任谷歌“量子人工智能”团队负责人,于2019年成功研发出53超导量子比特处理器“悬铃木”(Sycamore),并在随机线路采样任务上首次实现“量子优越性”,标志着超导量子计算从原理验证迈向实际演示的关键一步。
科学内容与核心发现
1.宏观量子隧穿:量子力学的“穿墙术”首次在电路中实现
量子隧穿是指粒子在能量不足以越过势垒的情况下,仍有一定概率“穿透”势垒的现象(图1)。在微观世界,这是电子、质子等粒子的基本行为。但在宏观系统中,由于粒子数巨大、环境干扰强,量子效应通常会被“抹平”。

图1 左边是经典世界,右边为量子世界,可以“穿墙”
三位获奖者通过电流偏置的约瑟夫森结(一种超导体—绝缘体—超导体结构)构建了一个宏观尺度的量子电路系统。该系统的势能曲线如下图呈U型,可类比于一个粒子被束缚在势阱中:在经典情况下,若粒子能量不足以翻越势垒,则无法逃逸;但在量子隧穿效应下,即使能量不足,粒子仍有一定概率穿越势垒而逃逸。实验中,粒子的等效能量可通过温度进行调控:高温(超过100mK)时能量较大,低温(约30mK)时能量显著降低。然而,若存在量子隧穿,即使在低温下系统仍可能发生逃逸。

图2 左为粒子被囚禁于U型势,右为粒子“穿墙”逃逸
实验结果显示(图3中黑点为实验数据),当温度高于100 mK时,系统的逃逸温度与实际温度基本一致(相差一个温度无关的系数),表明此时热激发主导逃逸过程;而当温度降至37mK附近并继续下降时,逃逸温度不再变化,保持在一个稳定值,表现出类似“穿墙”的行为,这正是宏观量子隧穿(MQT)发生的标志。在该系统中,数十亿个库珀对(Cooper pairs,即超导电子对)的集体行为可由单一宏观变量——相位差来描述。实验观测到,在极低温(约30mK)下,系统能够从零电压的亚稳态通过宏观量子隧穿自发跃迁至有电压的状态。这一发现首次证实,宏观系统可作为整体表现出量子行为,而不仅仅是微观粒子行为的统计叠加。

图3 宏观量子隧穿几率在量子状态(黑点)与经典状态(黑圈)下的区别。这一实验确定无疑地证明了宏观量子隧穿的存在,以及约瑟夫森结相位是一个宏观量子变量。
2.宏观电路中的能级量子化:从理论预言到直接观测
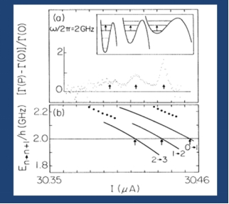
更具说服力的证据来自对宏观系统中能量量子化的直接探测。在量子力学中,束缚于势阱中的粒子具有分立的能级结构。研究团队通过向约瑟夫森结施加不同频率的微波进行探测,发现仅当微波能量(hν)恰好等于系统中两个能级之间的能量差时,系统的逃逸概率才会出现显著的共振增强如下图。这一现象表明系统从低能级被激发到了高能级。

图4 在固定频率的微波照射下,结的逃逸速率在三个特定偏置电流处出现共振峰,表明存在分立的能级跃迁。这些能级的位置与量子力学计算结果高度相符。
实验中观测到的共振峰位置与通过薛定谔方程计算得到的能级间距完美吻合,如同为这个“人工原子”拍摄了一幅清晰的能级光谱。当微波频率对应的能量与分立能级之差匹配时(对应几个GHz的频率),逃逸概率显著增大,导致约瑟夫森结两端电压及电流明显增强;而在其他频率下则无显著变化。这种共振行为与原子系统中电子吸收特定能量光子发生能级跃迁的现象完全类似。
科学意义与技术影响
本次诺贝尔奖所表彰的研究,不仅深化了人类对量子物理基本规律的理解,也实质性地推动了包括量子计算、量子通信与量子精密测量在内的新一代量子技术的发展。正如诺贝尔物理学委员会主席奥勒·埃里克松所言:“量子力学百年发展持续带来惊喜,而这项成果尤其具有重大应用价值,因为量子理论本身就是所有数字技术的根基。”
授奖的更深层意义在于,确立了“宏观量子隧穿”与“人工原子”作为可控量子系统的基本单元。这一突破不仅直接促进了超导量子计算技术的成熟,更构建出一个高度可控、可扩展的量子实验平台,为在更大系统中实现量子调控与应用奠定了基础。

图5 马丁尼斯与悬铃木(Sycamore)量子处理器
在三位获奖者中,约翰·马丁尼斯展现出卓越的工程实现能力。他率先在“相位量子比特”—一种偏置接近临界电流的约瑟夫森结—中观测到量子相干振荡,并在两个量子比特之间实现了长达10厘米的纠缠,显著拓展了宏观量子效应的作用范围。2014年,其团队整体并入谷歌,催生了2019年发布的“悬铃木(Sycamore)”量子处理器,首次在53个量子比特上实现了“量子霸权”。即便马丁尼斯后来离开谷歌,他所开创的技术路线仍持续演进:团队于2024年底推出105量子比特的“Willow”芯片,不仅将量子霸权推进至“五分钟对1025年”的新高度,更首次在超导系统中突破表面码量子纠错的盈亏平衡点,成为量子纠错领域的里程碑。目前,马丁尼斯通过其新创公司Qolab,致力于将超导量子芯片制造工艺推向半导体级别的工业化水平。
另一方面,约翰·克拉克则以其发明的超导量子干涉仪(SQUID)深刻影响了精密测量领域。作为极端灵敏的磁通传感器,SQUID已被广泛应用于脑磁图成像、地磁探测乃至暗物质搜寻等前沿实验中。克拉克长期致力于推动SQUID技术的实用化与多学科应用,其所著的《SQUID手册》已成为该领域的经典参考文献。

图6 克拉克与超导量子干涉仪(SQUID)
米歇尔·德沃雷的贡献同样关键。他于法国萨克雷原子能研究所创立“量子电子学(Quantronique)”团队,期间发明了电子泵,直接观测到库珀对的电荷,并发展出新型量子比特“Quantronium”。2002年,他加入耶鲁大学,与团队构建了“电路量子电动力学(circuit QED)”系统,实现了对人工原子的高精度操控与测量。如今在超导量子计算中广泛应用的“Transmon”量子比特,正是由他在耶鲁的学生科赫等人所提出。德沃雷在耶鲁开创的研究组,已成为超导量子电路与量子计算领域的重要摇篮,近半数活跃于全球的相关团队——包括IBM量子部门的创始成员——皆源于此,持续推动超导量子科技的前沿发展。
诺奖启示下的量子科技传承与创新
2025年诺贝尔物理学奖授予在宏观量子效应领域作出开创性贡献的三位科家,他们的卓越成就彰显了基础科学研究实现从“0”到“1”突破所带来的深远影响。正如德沃雷和罗伯特·J·舍尔科夫在2013年发表的综述文章《用于量子信息处理的超导电路—一个展望》(Superconducting Circuits for Quantum Information-An Outlook)中所预见,“然而,在过去不到二十年的时间里,我们见证了量子计算以及整个量子信息处理领域的巨大进展。量子计算极有可能在我们有生之年成为现实,尽管仍有大量新的探索与技术创新等待我们去完成。”

图7 德沃雷和其研究组开发的“3D transmon”
我校在量子科学领域有着深厚的研究传统。早在1980年,yl6809永利官网高洁院士通过原国家计量局,特邀约翰·克拉克教授,在成都举办的第二届全国超导隧道效应学术交流会上作了四场专题报告。报告内容涵盖超导结物理研究进展、超导结制备技术、超导量子干涉器件(SQUID)及非平衡现象等国际前沿领域,高洁院士为报告全程提供口译。2023年,本文作者何建红、郭华忠和陈曙嵬曾于法国萨克雷原子能研究所量子电子学团队开展短期合作研究。yl6809永利官网于2025年向教育部正式申报了量子信息科学本科专业,重点布局量子计算、量子通信与量子精密测量等方向。这一举措旨在响应国家在量子科技领域的战略需求,培养具备扎实理论基础与前沿技术能力的新一代科研与工程人才,实现从基础研究到人才培养的全链条创新生态。
2025年诺奖再次昭示,对基础科学的持续投入与原始创新是驱动技术与产业变革的根本动力。面向未来,yl6809永利官方版将继续发挥学科与基础研究优势,积极融入全球量子科技发展浪潮,为实现高水平科技自立自强提供坚实的人才支撑与创新源泉。
文章来源:yl6809永利官网 何建红 高洁